کربوکسی متیل کیتوزان کد 926043 (CMCht — Carboxymethyl Chitosan) یک مشتق محلول و کارآ از کیتوزان است که با افزودن گروههای کربوکسیمتیل به اسکلت پلیساکاریدی کیتوزان تولید میشود. این اصلاح شیمیایی، حلپذیری و فعالیت سطحی کیتوزان را بهطور چشمگیری بهبود میبخشد.
بهطوری که کربوکسیمتیل کیتوزان در گسترهٔ وسیعتری از pHها در آب پخش شده و خواص آمفوتریک (داشتن گروههای اسیدی و بازی) را نشان میدهد. به دلیل این ویژگیها، مادهای مورد توجه در فرمولاسیونهای دارویی، آرایشی، غذایی، تصفیه آب و کاربردهای بیومدیکال است.
کربوکسی متیل کیتوزان معمولا بهصورت پودر سفید تا کرمی عرضه میشود و میتواند خواص ضدباکتریایی، تشکیل فیلم، جذب یونهای فلزی و سازگاری زیستی را ارائه دهد. در کاربردهای پزشکی برای تولید هیدروژل، حامل دارو و بانداژهای ترمیمی مورد استفاده قرار میگیرد.
در صنایع غذایی و بستهبندی بهعنوان پوشش ضدباکتری و افزایش ماندگاری محصول کاربرد دارد؛ و در تصفیه آب برای حذف یونهای سنگین و رنگزادگیها عملکرد مؤثری نشان میدهد. نگهداری، آنالیز DS (درجهٔ جانشینی) و بررسی ایمنی هر بچ تولید برای کاربردهای حساس ضروری است.
در شرکت دانش پژوهان شیمی، اصالت و کیفیت کالا برای ما در اولویت است. شما میتوانید کربوکسی متیل کیتوزان برند معتبر Merck / Sigma را همراه با برگه آنالیز (COA)، بستهبندی استاندارد و مشاوره علمی تخصصی دریافت کنید.
📌 این محصول با کد 906043 آماده عرضه میباشد.
برای ثبت سفارش و دریافت قیمت روز، با کارشناسان ما تماس بگیرید:
☎️ تلفن: 02166859220(ساعات پاسخگویی: 8:30 تا 18:00)
📱 واتساپ: 09129618292 (پشتیبانی 24 ساعته)
دانشجویان، پژوهشگران و فعالان حوزه تحقیقاتی میتوانند با اطمینان خاطر، این ماده شیمیایی را از دانش پژوهان شیمی تهیه کنند و پروژههای آزمایشگاهی خود را با کیفیت و دقت بیشتری پیش ببرند.
نقش پلیمرهای طبیعی در توسعهٔ فناوریّهای پایدار روزبهروز افزایش مییابد و کربوکسیمتیل کیتوزان نمونهای بارز از این گرایش است. برخلاف کیتوزان خالص که در آب خنثی حل نمیشود و اغلب بهصورت ژل یا معلق بهکار میرود، تبدیل آن به فرم کربوکسیمتیل باعث میشود تا قابلیت حل در آب و تعامل یونی آن بهتر شود؛ این موضوع باعث گسترش چشمگیر دامنهٔ کاربردی این ماده در صنایع و پژوهشها شده است.
کربوکسی متیل کیتوزان بهدلیل داشتن گروههای کربوکسیل و آمینی در زنجیرهٔ مولکولی، خواص متعددی مثل کنترل رهایش دارو، چسبندگی به بیومواد، جذب فلزات سنگین و تشکیل فیلمهای عملکردی را فراهم میآورد.
از منظر فرمولاسیون، توانایی ایجاد امولسیون پایدار، افزایش ویسکوزیته و بهبود ثبات میکروکپسولها، آن را برای تولید محصولات آرایشی و غذایی جذاب کرده است. در همین حال، توسعه روشهای تولید کمهزینه و پاکتر و ارزیابی دقیق اثرهای زیستی و محیطی از نیازهای حیاتی برای ورود گستردهتر این ماده به بازار است.
دانش پژوهان شیمی نمایندگی مواد شیمیایی سیگماآلدریچ در ایران می باشد. این مجموعه کلیه محصولات و مواد شیمیایی آزمایشگاهی را از جمله محصولات مرک merck ، و سیگماآلدریچ sigmaaldrich ، و کلیه محصولات آزمایشگاهی و صنعتی را به مشتریان ارائه می دهد.
کربوکسی متیل کیتوزان کد 926043 یکی از محصولات تولیدی شرکت سیگماآلدریچ sigmaaldrich می باشد. این شرکت یکی از بزرگترین کمپانی های تولیدی مواد شیمیایی آزمایشگاهی در جهان می باشد که در بین محققین و دانشمندان و… از جایگاه ویژه ای برخوردار است.
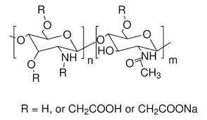
پایه مولکولی: کیتوزان (پلیمر حاصل از دهیدراتاسیون و دناتورهسازی کیتین) که زنجیرههای β-(1→4)-D-گلوکزامین را دارد.
واکنش کاربوکسیمتیلاسیون: گروههای هیدروکسیل (-OH) و/یا آمین (–NH₂) روی اسکلت کیتوزان با عوامل کاربوکسیمتیلکننده واکنش میدهند و گروه –CH₂–COOH (کربوکسیمتیل) را متصل میکنند.
اشکال متداول ساختاری:
N-Carboxymethyl chitosan (جانشینی روی گروه آمینی)
O-Carboxymethyl chitosan (جانشینی روی گروه هیدروکسیل)
N,O-Carboxymethyl chitosan (جانشینی هر دو موقعیت)
ویژگی ماکرو: مادهٔ پلیمری خطی با زنجیرههای هیدروفیلیک و گروههای یونی که رفتار آمفوتریک و قابلیت تشکیل ژل/فیلم را ممکن میسازد.

ظاهر: پودر سفید تا کرم کمرنگ یا سوسپانسیون شفاف در آب.
حلالیت: محلول در آب، بهخصوص نمونههای با درجهٔ جانشینی مناسب؛ محلول در حلالهای قطبی.
غلظت ویسکوزیته: وابسته به وزن مولکولی و درصد جانشینی؛ میتواند ویسکوزیته بالایی در محلول نشان دهد.
پایداری دمایی: پایداری حرارتی تا حد متوسط؛ در دماهای بالا تجزیهٔ پلیمری رخ میدهد.
پایداری شیمیایی: حساس به اکسیدکنندهها و شرایط رادیکالی شدید؛ اما در شرایط متداول ذخیرهسازی پایدار است.
درجهٔ جانشینی (DS): پارامتری کلیدی که رفتار حلالتی، بار سطحی و خواص بیولوژیک را تعیین میکند؛ معمولاً بین 0.1 تا 1.0 (بسته به روش سنتز) گزارش میشود.
از شما دعوت میکنیم برای آشنایی بیشتر با محصولات آزمایشگاهی و مقالات تخصصی ما، سری به وبسایت بزنید و سایر محصولات از جمله ۴-متیل پروپیوفنون را مشاهده کنید. هدف ما این است که فرآیند خرید شما سریعتر، آسانتر و با اطمینان کامل انجام شود.
همین حالا روی لینک زیر کلیک کنید و از محتوای آموزشی و محصولات متنوع ما دیدن کنید:

کاربرد: حامل دارو، هیدروژل برای آزادسازی کنترلشده، بانداژهای ترمیمی، ماتریسهای مهندسی بافت.
چرا: حلپذیری و گروههای عملکردی امکان اتصال داروها و رهایش تدریجی را فراهم میکند؛ زیستسازگاری آن برای کاربردهای درونبدنی مناسب است.
کاربرد: پوشش ضدباکتری روی میوه و سبزی، فیلمهای قابل خوردن برای افزایش ماندگاری.
چرا: خواص ضدباکتری و تشکیل فیلم شفاف با مانع رطوبتی نسبی میتواند فساد میکروبی را کاهش دهد.
کاربرد: جاذب یونهای سنگین، حذف رنگ و آلایندههای آلی از فاضلاب.
چرا: گروههای کربوکسیل و آمین کمپلکسسازی قوی با کاتیونها ایجاد میکنند؛ قابل بازیافت و برگشتپذیر در برخی سیستمها.
کاربرد: مرطوبکننده، تشکیلدهندهٔ فیلم روی پوست، پایدارکنندهٔ امولسیونها.
چرا: جذب رطوبت و سازگاری پوستی باعث افزایش نرمی و محافظت از پوست میشود.
کاربرد: حامل آزادسازی کند مواد مغذی، محافظت از بذر در برابر patogen.
چرا: رهایش تدریجی و بیوسازگاری موجب افزایش اثربخشی کودها میشود.
کاربرد: اصلاحدهندهٔ چسبندگی، عامل تثبیتکننده رنگ و رزینها.
چرا: ایجاد پیوند سطحی بهتر و افزایش پایداری فرمولاسیونها.
کاربرد: تعامل با نانوذرات، توزیع یکنواخت و افزایش خواص مکانیکی.
چرا: گروههای سطحی امکان پوششدهی و پایدارسازی نانوذرات را فراهم میکنند.

برای خرید کربوکسی متیل کیتوزان کد 926043 از سایت رسمی دانشپژوهان شیمی، کافیست مراحل ساده زیر را دنبال کنید:
🔹 استاندارد بستهبندی و ایمنی:
این محصول باید در ظروف مقاوم، دربسته و عایق رطوبت بستهبندی شود تا خواص آن در حین حملونقل و نگهداری دچار تغییر نشود.
🔹 تأمین از برندهای معتبر:
ما این ماده را تنها از برندهای مطرحی مانند Merck (مرک) و Sigma-Aldrich (سیگما آلدریچ) تأمین میکنیم تا بالاترین خلوص و کیفیت برای شما تضمین شود.
🔹 مناسب برای مصرف آزمایشگاهی و صنعتی:
در صورت نیاز به خرید جزئی یا عمده، کارشناسان ما آماده ارائه مشاوره علمی و فنی پیش از خرید هستند.
📦 موجودی در بستهبندیهای متنوع
قابل ارائه در بسته بندی: 5G با ارسال سریع به سراسر کشور.
📞 ثبت سفارش و دریافت مشاوره تخصصی:
برای ثبت سفارش یا دریافت قیمت بهروز، با ما تماس بگیرید یا فرم سفارش را از طریق وبسایت تکمیل کنید.
تلفن: [02166859216 – 02166859220 – 09129618292]
ایمیل: [info@daneshpazhoohaneshimi.com]
سایت: [www.daneshpazhoohaneshimi.com]
🎯 همین حالا اقدام کنید!
کربوکسی متیل کیتوزان کد 926043 خالص و آزمایشگاهی را با شرایط ویژه از تأمینکننده معتبر دریافت نمایید.

شرکت دانش پژوهان شیمی که نمایندگی مرک آلمان و نمایندگی سیگماآلدریچ در ایران، با همکاری کارشناسان مجرب خود در بخش فنی و فروش، جهت تامین مواد اولیه پژوهش های تحقیقاتی ماده های با کیفیت بالا و قیمت مناسب را فراهم نموده است. شما می توانید جهت خرید کربوکسی متیل کیتوزان با بخش فروش شرکت دانش پژوهان شیمی تماس حاصل بفرمایید و پس از دریافت پیش فاکتور و اطمینان حاصل نمودن از صحت نام محصول، کد، شماره CAS نامبر مواد شیمیایی درخواستی اقدام به ثبت سفارش نمایید تحویل کالاهای خریداری شده و زمان تحویل آنها به صورت زیر می باشد.
مزایا:
معایب / محدودیتها:

درجهٔ جانشینی (DS): میزان گروههای کربوکسیمتیل نصبشده؛ شاخص اصلی تعیینکنندهٔ حلالیت، بار سطحی و پتانسیل جذب فلز. برای مصارف دارویی، DS کنترلشده ضروری است.
وزن مولکولی: وزن میانگین پلیمری که روی ویسکوزیته محلول و نفوذپذیری فیلم تأثیر میگذارد؛ انواع سبک برای نانوفورماسیون و انواع سنگین برای فیلمسازی ترجیح داده میشوند.
پتانسیل آمفوتریک: توانایی بارگیری مثبت یا منفی بسته به pH؛ این ویژگی را برای بندبندی بار مثبت داروها یا جذب آنیونها مفید میسازد.
تشکیل ژل و فیلم: قابلیت ایجاد هیدروژل با خواص مکانیکی قابل تنظیم و فیلمهای شفاف با نفوذپذیری کنترلشده.
پایداری زیستی: تخریب زیستی تحت شرایط محیطی و آنزیمی، که برای کاربردهای دارویی و محیطی مهم است.
تحریک پوستی یا چشمی: تماس غلیظ یا مستقیم ممکن است باعث تحریک گردد؛ شستشوی سریع توصیه میشود.
آلرژیهای پوستی/منشاء دریایی: منبع کیتوزان اغلب از سختپوستان است؛ افراد با حساسیت شدید به منابع دریایی باید با احتیاط عمل کنند، اگرچه فرآیند خالصسازی معمولاً پروتئینهای آلرژن را حذف میکند.
استنشاق گرد: پودر خشک ممکن است باعث تحریک تنفسی شود؛ استفاده از ماسک و تهویه لازم است.
مصارف داخلی: برای کاربردهای خوراکی یا دارویی، باید دادههای سمیت سیستمیک و آزمونهای بالینی معتبر ارائه شود.
تجهیزات حفاظت فردی (PPE): دستکش، عینک حفاظتی و ماسک ضدذرات در عملیات پودری و هود تهویه در آمادهسازی محلولها توصیه میشود.
نگهداری: در ظروف دربسته، خشک و خنک نگهداری شود؛ از تماس با اکسیدکنندههای قوی و مواد اسیدی/باز بسیار قوی خودداری شود.
نشتی و دفع: نشتی را با مواد جاذب مناسب جمعآوری کنید؛ پسماندها را مطابق مقررات محلی دفع کنید — اگر در محیط آبی وارد میشود، از قبل بررسیهای زیستی لازم است.
استفاده در بدن: فقط فرمها و بچهایی که تست زیستی و تأیید شدهاند برای کاربردهای پزشکی یا دارویی مجازند.
۱)کربوکسی متیل کیتوزان چیست و چه تفاوتی با کیتوزان دارد؟
کیتوزان مشتق شده از کیتین است؛ کربوکسی متیل کیتوزان نوعی کیتوزان اصلاحشده است که گروههای کربوکسیمتیل به آن الحاق شدهاند تا حلالیت و فعالیت سطحی افزایش یابد.
۲) آیا این ماده برای بستهبندی مواد غذایی ایمن است؟
بعضی فرمها و درجههای خلوص کربوکسیمتیل کیتوزان برای پوششها و فیلمهای خوراکی مناسباند، اما باید آنالیز خلوص، باقیماندهٔ واکنش و آزمایشهای مهاجرت غذایی را بررسی کنید.
۳) چگونه از آن برای حذف فلزات سنگین استفاده میشود؟
با پخش در آب یا بهصورت بستر (رزین/ژل)، گروههای کربوکسیل و آمینی یونهای فلزی را جذب کرده و میتوان با اسید ضعیف یا نمک، یونها را جدا و ماده را بازسازی کرد.
۴) آیا کربوکسیمتیل کیتوزان ضدباکتری است؟
بخشی از انواع آن فعالیت ضدباکتریایی نشان دادهاند؛ اما شدت و طیف ضدباکتریایی وابسته به DS، وزن مولکولی و شرایط آزمون است.
۵) چگونه آن را نگهداری کنم؟
در ظرف دربسته، خشک و خنک با تهویه مناسب نگهداری کنید؛ از تماس با مواد اکسیدکننده قوی و رطوبت زیاد پرهیز شود.
نکات اضافی که ممکن است مفید باشد
برای طراحی محصول، همیشه COA و روش تحلیل (NMR، FTIR برای تایید کاربوکسیمتیلاسیون، سنجش DS) را درخواست کنید.
در کاربردهای پزشکی، آزمونهای سمیت درونتنی و برونتنی، پایداری استریل و بررسی پاسخ التهابی ضروری هستند.
توسعه فرایندهای تولید با استفاده از روشهای کمپسماند و واکنشهای سبز میتواند هزینهها و اثرات زیستمحیطی را کاهش دهد. قیمت کربوکسی متیل کیتوزان

شرکت دانش پژوهان شیمی یکی از بزرگترین وارد کنندگان و فروشندگان مواد شیمیایی، آزمایشگاهی بخصوص فروش کربوکسی متیل کیتوزان که از محصولات نمایندگی مرک آلمان می باشد. این شرکت در زمینه واردات محصولات از تجربه بسیار بالایی برخوردار است. شما می توانید جهت تهیه این محصولات (اصلی) با بخش فروش شرکت تماس گرفته و با کارشناسان این شرکت در ارتباط باشید. از طریق کانال واتساپ شرکت نام محصول به همراه میزان نیاز خود را ارسال تا در کمترین زمان پاسخ استعلام خود را دریافت نمائید. امیدواریم بتوانیم با ارائه محصولات اصلی و با بهترین کیفیت شما را برای رسیدن به اهدافتان یاری نمائیم.
جهت محصولات بیشتر واستعلام سریع قیمت کربوکسی متیل کیتوزان میتوانید از طریق کانال واتساپ شرکت با ارسال نام ماده و مقدار نیاز در کمترین زمان پاسخ استعلام خود را دریافت نمائید.
راههای ارتباطی
شماره های تماس:
021-66859216
021-66859220 (ساعات تماس:8.30 الی 19)
واتساپ:09129618292 (24ساعت)
Last Updated on 12/26/2025 by adminm