دی بوتیل تین دی لورات (DBTDL) یکی از ترکیبات آلی قلع پرکاربرد در حوزههای شیمی آلی، شیمی پلیمر و صنایع پیشرفته تحقیقاتی است که بهطور گسترده بهعنوان کاتالیزور مؤثر در واکنشهای پلیمریزاسیون، تولید پلییورتانها، رزینها و فرآیندهای استریفیکاسیون مورد استفاده قرار میگیرد. این ماده با ساختار پایدار و فعالیت کاتالیزوری بالا، نقش کلیدی در افزایش سرعت و کنترلپذیری واکنشهای شیمیایی ایفا میکند و به همین دلیل در آزمایشگاههای دانشگاهی و مراکز تحقیق و توسعه صنعتی جایگاه ویژهای دارد.
دی بوتیل تین دی لورات مرک آلمان (Merck / Sigma-Aldrich) با خلوص تضمینشده، یکنواختی بچ تولید و کنترل کیفی دقیق عرضه میشود و انتخابی مطمئن برای پژوهشگران، دانشجویان تحصیلات تکمیلی و متخصصان صنایع شیمیایی محسوب میگردد. استفاده از این ترکیب استاندارد بینالمللی، دقت نتایج آزمایشگاهی را افزایش داده و امکان تکرارپذیری دادهها در پروژههای تحقیقاتی و پایاننامههای دانشگاهی را فراهم میسازد.
شرکت دانش پژوهان شیمی با تمرکز بر تأمین مواد شیمیایی آزمایشگاهی معتبر، امکان خرید دی بوتیل تین دی لورات مرک اصل را همراه با مشاوره تخصصی و ارسال سریع فراهم کرده است تا پژوهشگران با اطمینان کامل، ماده مورد نیاز خود را مستقیماً از یک منبع قابل اعتماد تهیه نمایند.
در شرکت دانش پژوهان شیمی، اصالت و کیفیت کالا برای ما در اولویت است. شما میتوانید دی بوتیل تین دی لورات را از برند معتبر Merck / Sigma را همراه با برگه آنالیز (COA)، بستهبندی استاندارد و مشاوره علمی تخصصی دریافت کنید.
📌 این محصول با کد 820421 آماده عرضه میباشد.
برای ثبت سفارش و دریافت قیمت روز، با کارشناسان ما تماس بگیرید:
☎️ تلفن: 02166859220(ساعات پاسخگویی: 8:30 تا 18:00)
📱 واتساپ: 09129618292 (پشتیبانی 24 ساعته)
دانشجویان، پژوهشگران و فعالان حوزه تحقیقاتی میتوانند با اطمینان خاطر، این ماده شیمیایی را از دانش پژوهان شیمی تهیه کنند و پروژههای آزمایشگاهی خود را با کیفیت و دقت بیشتری پیش ببرند.
دی بوتیل تین دی لورات با نام انگلیسی Dibutyltin Dilaurate (DBTDL) یک ترکیب آلی قلعدار است که بهعنوان کاتالیزور بسیار مؤثر در واکنشهای استریفیکاسیون، ترانساستریفیکاسیون و بهویژه پلیمریزاسیون پلییورتانها استفاده میشود. این ماده به دلیل فعالیت کاتالیتیکی بالا، کنترلپذیری واکنش و پایداری مناسب، جایگاه ویژهای در صنایع شیمیایی و تحقیقاتی دارد.
دانش پژوهان شیمی نمایندگی مواد شیمیایی سیگماآلدریچ در ایران می باشد. این مجموعه کلیه محصولات و مواد شیمیایی آزمایشگاهی را از جمله محصولات مرک merck ، و سیگماآلدریچ sigmaaldrich ، و کلیه محصولات آزمایشگاهی و صنعتی را به مشتریان ارائه می دهد.
DBTDL معمولاً بهصورت مایعی شفاف تا زرد کمرنگ عرضه میشود که از نظر ظاهری یکنواخت و بدون ذرات معلق است. این یکنواختی ظاهری نشانه خلوص مناسب و کیفیت بالای ماده است؛ نکتهای که برای آزمایشگاهها و خطوط تولید اهمیت زیادی دارد.
از نظر فیزیکوشیمیایی، این ترکیب:
در بسیاری از حلالهای آلی رایج حل میشود
ویسکوزیتهای دارد که افزودن آن به مخلوط واکنش را ساده میکند
حتی در مقادیر کم، فعالیت کاتالیتیکی قابل توجهی نشان میدهد
نکته مهم اینجاست که DBTDL بهخاطر ساختار شیمیایی خاص خود، میتواند واکنشهای استریفیکاسیون و پلیمریزاسیون را بدون ایجاد محصولات جانبی ناخواسته تسریع کند. این یعنی محصول نهایی تمیزتر، یکنواختتر و با کیفیت بالاتر به دست میآید.
دی بوتیل تین دی لورات یک ماده فعال شیمیایی است و باید با احترام با آن برخورد کرد. این ترکیب در تماس مستقیم با پوست یا استنشاق بخارات میتواند خطرناک باشد؛ به همین دلیل استفاده از دستکش مقاوم، عینک ایمنی و هود آزمایشگاهی کاملاً ضروری است.
اما خبر خوب این است که وقتی DBTDL طبق دستورالعملهای استاندارد استفاده شود، کاملاً قابل کنترل و ایمن است. به همین دلیل است که شرکتهای بزرگ صنعتی و آزمایشگاههای مرجع دنیا سالهاست از این ماده استفاده میکنند و آن را بهعنوان یک کاتالیزور قابل اعتماد میشناسند.
دعوت ویژه برای بازدید از محصولات و مقالات ما
از شما دعوت میکنیم برای آشنایی بیشتر با محصولات آزمایشگاهی و مقالات تخصصی ما، سری به وبسایت بزنید و سایر محصولات از جمله پتاسیم فلوراید را مشاهده کنید. هدف ما این است که فرآیند خرید شما سریعتر، آسانتر و با اطمینان کامل انجام شود.
همین حالا روی لینک زیر کلیک کنید و از محتوای آموزشی و محصولات متنوع ما دیدن کنید:
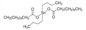
دی بوتیل تین دی لورات یک ترکیب آلیفلزی بر پایه قلع (Tin-based organometallic compound) است که ساختار آن نقش مستقیم در عملکرد کاتالیزوری قدرتمندش دارد. در این ترکیب، یک اتم قلع (Sn) در مرکز قرار گرفته و به دو گروه بوتیل (Butyl) و دو گروه لورات (Laurate) متصل شده است.
به زبان سادهتر، ساختار DBTDL از سه بخش اصلی تشکیل شده است:
هسته مرکزی قلع (Sn) که مسئول فعالیت کاتالیتیکی است
دو زنجیره بوتیل آلی که به افزایش پایداری و حلالیت ترکیب در محیطهای آلی کمک میکنند
دو گروه لورات (اسید لوریک استریشده) که باعث بهبود سازگاری ماده با فرمولاسیونهای پلیمری و رزینی میشوند
فرمول شیمیایی این ترکیب معمولاً به صورت C₃₂H₆₄O₄Sn نمایش داده میشود. همین آرایش مولکولی خاص است که باعث میشود دیبوتیل تین دیلورات بتواند بهطور مؤثر در واکنشهای استریفیکاسیون و پلیمریزاسیون نقش کاتالیزور فعال اما کنترلپذیر را ایفا کند.
از دید کاربردی، این ساختار باعث میشود DBTDL هم در مقیاس آزمایشگاهی و هم در مقیاس صنعتی، پایداری، تکرارپذیری و عملکرد قابل پیشبینی داشته باشد؛ چیزی که برای پژوهشگر و تولیدکننده، یک مزیت بسیار بزرگ محسوب میشود.
اگر بخواهیم صادق باشیم، بخش زیادی از فروش بالای DBTDL به خاطر نقش کلیدی آن در صنعت پلیمر و پلییورتان است. در تولید فومهای پلییورتانی، چسبهای صنعتی، پوششها و رزینها، این ماده دقیقاً همان چیزی است که سرعت واکنش را بهینه و کیفیت محصول را تضمین میکند.
در صنایع چسب و درزگیر، استفاده از دی بوتیل تین دی لورات باعث میشود زمان گیرایش کنترلشده باشد؛ نه آنقدر سریع که فرآیند خراب شود، نه آنقدر کند که خط تولید متوقف بماند. این ویژگی برای واحدهای تولیدی یعنی صرفهجویی در زمان و هزینه.
در آزمایشگاههای تحقیقاتی و دانشگاهی نیز DBTDL نقش مهمی در توسعه فرمولاسیونهای جدید دارد. پژوهشگرانی که روی مسیرهای سنتزی، سینتیک واکنش یا بهینهسازی شرایط پلیمریزاسیون کار میکنند، از این ماده بهعنوان یک کاتالیزور مرجع استفاده میکنند. اگر پروژه تحقیقاتیات به دقت و تکرارپذیری نیاز دارد، DBTDL یکی از انتخابهای منطقی است.
اگر در آزمایشگاهتان سرعت، دقت و یکنواختی مهم است، قرص رینگر انتخاب هوشمندانهای است. خرید از منبع معتبر تضمین میکند که ترکیب محلول دقیق و قابل اعتماد باشد. دانش پژوهان شیمی این محصول را با تضمین اصالت و مشاوره تخصصی ارائه میکند.
اگه وارد این صفحه شدی، احتمالاً:
نمیخوای روی سنتزت ریسک کنی
دنبال مادهای هستی که امتحان خودش رو پس داده
کیفیت کارت برات مهمتر از ارزونترین قیمت بازاره
دی بوتیل تین دی لورات که دانشپژوهان شیمی تأمین میکنه دقیقاً برای همین آدمهاست؛ کسایی که میخوان با خیال راحت آزمایش کنن، توسعه بدن و نتیجه بگیرن.
📌 جمعبندی حرفهای:
این ماده انتخاب کساییه که بهجای آزمون و خطای پرهزینه، میخوان مستقیم به نتیجه برسن.
🔘 دریافت قیمت و مشاوره تخصصی
🔘 ثبت سفارش فوری
واتساپ: 09129618292

دی بوتیل تین دی لورات معمولاً در مقادیر بسیار کم به واکنش اضافه میشود. همین مقدار کم، اگر درست تنظیم شود، میتواند تأثیر بزرگی روی سرعت و کیفیت واکنش بگذارد. در محیطهای تحقیقاتی، توصیه میشود ابتدا تستهای مقیاس کوچک انجام شود تا بهترین دوز مصرفی مشخص شود.
در خطوط صنعتی هم کنترل دقیق دما، نسبت مواد اولیه و میزان DBTDL اهمیت بالایی دارد. این دقت است که باعث میشود محصول نهایی کیفیت ثابت و قابل اعتماد داشته باشد.
دی بوتیل تین دی لورات با کد 820421 توسط برندهای معتبر بینالمللی مانند Merck و Sigma-Aldrich تولید میشود. این برندها بهخاطر کنترل کیفی سختگیرانه، انتخاب اول بسیاری از آزمایشگاههای حرفهای هستند.
در دانش پژوهان شیمی، فقط محصولاتی عرضه میشود که از نظر اصالت، خلوص و تاریخ مصرف قابل اطمینان باشند؛ چون اینجا فروش یکباره مهم نیست، اعتماد بلندمدت مهم است.
👉 آمادهای پروژهات رو حرفهای جلو ببری؟
🧪 خلوص بالا
📦 بستهبندی استاندارد آزمایشگاهی
📞 مشاوره تخصصی قبل از خرید
👉 همین حالا دی بوتیل تین دی لورات کد 820421 رو از دانشپژوهان شیمی تهیه کن
مزایا:
قدرت کاتالیزوری بالا
مصرف کم و بازده زیاد
مناسب برای فرآیندهای حساس و دقیق
سازگار با کاربردهای آزمایشگاهی و صنعتی
محدودیتها:
نیاز به رعایت نکات ایمنی
حساسیت به شرایط نگهداری در بلندمدت
شفاف گفتن این موارد خودش باعث اعتماد کاربر میشود؛ چیزی که گوگل هم به آن واکنش مثبت نشان میدهد.
اگر بهدنبال کاتالیزوری هستی که:
نتیجه بده
قابل کنترل باشه
در صنعت و تحقیق امتحان خودش رو پس داده باشه
دی بوتیل تین دی لورات (DBTDL) دقیقاً همون انتخاب حرفهایه.
و وقتی از دانش پژوهان شیمی تهیه میکنی، فقط ماده نمیخری؛ خیالت رو میخری.
برای خرید دی بوتیل تین دی لورات کد 820421 از سایت رسمی دانش پژوهان شیمی، کافیست مراحل ساده زیر را دنبال کنید:
🔹 استاندارد بستهبندی و ایمنی:
این محصول باید در ظروف مقاوم، دربسته و عایق رطوبت بستهبندی شود تا خواص آن در حین حملونقل و نگهداری دچار تغییر نشود.
🔹 تأمین از برندهای معتبر:
ما این ماده را تنها از برندهای مطرحی مانند Merck (مرک) و Sigma-Aldrich (سیگما آلدریچ) تأمین میکنیم تا بالاترین خلوص و کیفیت برای شما تضمین شود.
🔹 مناسب برای مصرف آزمایشگاهی و صنعتی:
در صورت نیاز به خرید جزئی یا عمده، کارشناسان ما آماده ارائه مشاوره علمی و فنی پیش از خرید هستند.
📦 موجودی در بستهبندیهای متنوع
قابل ارائه در بسته بندی: بسته 25 میلی لیتر – 1لیتری با ارسال سریع به سراسر کشور.
📞 ثبت سفارش و دریافت مشاوره تخصصی:
برای ثبت سفارش یا دریافت قیمت بهروز، با ما تماس بگیرید یا فرم سفارش را از طریق وبسایت تکمیل کنید.
تلفن: [02166859216 – 02166859220 – 09129618292]
ایمیل: [info@daneshpazhoohaneshimi.com]
سایت: [www.daneshpazhoohaneshimi.com]
🎯 همین حالا اقدام کنید!
دی بوتیل تین دی لورات کد 820421 خالص و آزمایشگاهی را با شرایط ویژه از تأمینکننده معتبر دریافت نمایید.
اگر میخواهی دی بوتیل تین دی لورات را بدون دردسر و با دقت بالا تهیه کنی،
دی بوتیل تین دی لورات کد 820421 دقیقاً همان چیزی است که آزمایشگاهت نیاز دارد.
👉 خرید مطمئن از دانش پژوهان شیمی
👉 مناسب دانشجویان، پژوهشگران و مراکز تحقیقاتی
👉 آماده استفاده، دقیق و قابل اعتماد
آیا DBTDL برای استفاده آزمایشگاهی مناسب است یا فقط صنعتی؟
هر دو. این ماده هم در مقیاس آزمایشگاهی برای پروژههای تحقیقاتی و پایاننامهها استفاده میشود و هم در مقیاس صنعتی در خطوط تولید. مهم این است که دوز مصرفی بهدرستی تنظیم شود.
دیبوتیل تین دیلورات سیگما یا مرک چه تفاوتی دارند؟
از نظر عملکرد کلی مشابهاند، اما برندهای معتبر مثل Sigma-Aldrich و Merck بهخاطر کنترل کیفیت سختگیرانه، خلوص بالاتر و تکرارپذیری نتایج، انتخاب اول آزمایشگاههای حرفهای هستند.
آیا دی بوتیل تین دی لورات ماده خطرناکی است؟
DBTDL یک ماده فعال شیمیایی است و باید طبق اصول ایمنی استفاده شود. استفاده از دستکش، عینک و هود الزامی است، اما در صورت رعایت دستورالعملها، کار با آن کاملاً قابل کنترل و ایمن است.
مقدار مصرف دی بوتیل تین دی لورات چقدر است؟
این ماده معمولاً در مقادیر بسیار کم (در حد درصدهای پایین یا حتی کمتر) استفاده میشود. مقدار دقیق به نوع واکنش، دما و فرمولاسیون بستگی دارد و معمولاً با تست اولیه مشخص میشود.
نحوه نگهداری دی بوتیل تین دی لورات چگونه است؟
بهتر است در ظرف دربسته، دور از نور مستقیم، رطوبت و گرمای زیاد نگهداری شود. نگهداری صحیح باعث حفظ کیفیت و فعالیت کاتالیتیکی ماده میشود.
آیا دی بوتیل تین دی لورات تاریخ انقضا دارد؟
بله. مانند اکثر مواد شیمیایی، این ماده هم تاریخ مصرف دارد و استفاده از محصول تازه و معتبر برای رسیدن به نتیجه مطلوب بسیار مهم است.
چرا دی بوتیل تین دی لورات را از دانش پژوهان شیمی بخریم؟
چون اصالت کالا، برند معتبر، مشاوره تخصصی و ارسال مطمئن ارائه میشود. این یعنی ریسک خریدت به حداقل میرسد.
✔ مناسب سنتز دارویی
✔ خلوص بالا
✔ ارسال سریع
✔ پشتیبانی علمی
🔘 📞 تماس فوری
🔘 💬 مشاوره واتساپ
شرکت دانش پژوهان شیمی که نمایندگی مرک آلمان و نمایندگی سیگماآلدریچ در ایران، با همکاری کارشناسان مجرب خود در بخش فنی و فروش، جهت تامین مواد اولیه پژوهش های تحقیقاتی ماده های با کیفیت بالا و قیمت مناسب را فراهم نموده است. شما می توانید جهت خرید دی بوتیل تین دی لورات با بخش فروش شرکت دانش پژوهان شیمی تماس حاصل بفرمایید و پس از دریافت پیش فاکتور و اطمینان حاصل نمودن از صحت نام محصول، کد، شماره CAS نامبر مواد شیمیایی درخواستی اقدام به ثبت سفارش نمایید تحویل کالاهای خریداری شده و زمان تحویل آنها به صورت زیر می باشد.
شرکت دانش پژوهان شیمی یکی از بزرگترین وارد کنندگان و فروشندگان مواد شیمیایی، آزمایشگاهی بخصوص فروش دی بوتیل تین دی لورات کد 820421 که از محصولات نمایندگی مرک آلمان می باشد. این شرکت در زمینه واردات محصولات از تجربه بسیار بالایی برخوردار است. شما می توانید جهت تهیه این محصولات (اصلی) با بخش فروش شرکت تماس گرفته و با کارشناسان این شرکت در ارتباط باشید. از طریق کانال واتساپ شرکت نام محصول به همراه میزان نیاز خود را ارسال تا در کمترین زمان پاسخ استعلام خود را دریافت نمائید. امیدواریم بتوانیم با ارائه محصولات اصلی و با بهترین کیفیت شما را برای رسیدن به اهدافتان یاری نمائیم.
جهت محصولات بیشتر واستعلام سریع قیمت دی بوتیل تین دی لورات کد 820421 میتوانید از طریق کانال واتساپ شرکت با ارسال نام ماده و مقدار نیاز در کمترین زمان پاسخ استعلام خود را دریافت نمائید.
راههای ارتباطی
شماره های تماس:
021-66859216
021-66859220 (ساعات تماس:8.30 الی 19)
واتساپ:09129618292 (24ساعت)
استعلام قیمت مواد شیمیایی آزمایشگاهی و تحقیقاتی
Last Updated on 01/02/2026 by adminm