دیاتیل ۱-سیانو اتیل فسفونات (Diethyl 1-Cyanoethylphosphonate) یک ترکیب فسفونی پرکاربرد در سنتزهای آلی، دارویی و شیمی آلی تحقیقاتی است. این ماده به دلیل ساختار واکنشپذیر خود، بهعنوان واسطه کلیدی در تولید ترکیبات فسفونی و سنتز داروهای تحقیقاتی استفاده میشود.
در دانش پژوهان شیمی امکان خرید دیاتیل ۱-سیانو اتیل فسفونات با خلوص بالا و کیفیت تحقیقاتی، همراه با مشاوره تخصصی پیش از خرید فراهم شده است.
این ماده بهعنوان یک واسط مهم در سنتزهای فسفوناتی، واکنشهای هورنر–وادزورث–امونز و مسیرهای دارویی شناخته میشود و در بسیاری از آزمایشگاههای دانشگاهی و مراکز تحقیقاتی کاربرد دارد. به همین دلیل، خرید گرید معتبر و اصیل آن برای دانشجویان تحصیلات تکمیلی و محققان صنعتی یک ضرورت است، نه انتخاب.
در دانش پژوهان شیمی دیاتیل ۱-سیانو اتیل فسفونات کد 408573 دقیقاً با همین نگاه تأمین شده؛ برای کسانی که میخواهند بدون ریسک، با خیال راحت آزمایششان را جلو ببرند و به نتیجهای برسند که قابل دفاع، قابل انتشار و قابل اعتماد باشد.
در شرکت دانش پژوهان شیمی، اصالت و کیفیت کالا برای ما در اولویت است. شما میتوانید دی اتیل ۱-سیانو اتیل فسفونات را می توانید از برند معتبر Merck / Sigma را همراه با برگه آنالیز (COA)، بستهبندی استاندارد و مشاوره علمی تخصصی دریافت کنید.
📌 این محصول با کد 408573 آماده عرضه میباشد.
برای ثبت سفارش و دریافت قیمت روز، با کارشناسان ما تماس بگیرید:
☎️ تلفن: 02166859220(ساعات پاسخگویی: 8:30 تا 18:00)
📱 واتساپ: 09129618292 (پشتیبانی 24 ساعته)
دانشجویان، پژوهشگران و فعالان حوزه تحقیقاتی میتوانند با اطمینان خاطر، این ماده شیمیایی را از دانش پژوهان شیمی تهیه کنند و پروژههای آزمایشگاهی خود را با کیفیت و دقت بیشتری پیش ببرند.
در سنتزهای آلی مدرن، معرفهایی که توانایی ایجاد یا تغییر پیوندهای C–C را با کنترل بالا فراهم میآورند، نقش بنیادی دارند. دی اتیل ۱-سیانو اتیل فسفونات یکی از این معرفهاست که به دلیل ترکیب ویژگیهای الکترونخواهی گروه سیانو و قابلیت پایدارسازی واسطه توسط گروه فسفونات، در مجموعه ابزار شیمیدانان آلی جایگاه ویژهای یافته است.
این مولکول میتواند در واکنشهایی مانند افزودن کنژوگه، تبدیل استرها و آمیدها، یا بهعنوان بلوک ساختمانی در سنتز مرکاپتانها و نیتریلدارها بهکار رود. بهطور کلی حضور گروه فسفونات دیاتیل باعث میشود تا مولکول در واکنشهای پایهکاتالیزوری یا نوکلوفیلیتی عملکرد قابلپیشبینیتری داشته باشد و جداسازی محصولات نیز آسانتر صورت گیرد.
در صنایع فرمولاسیون و R&D، استفاده از این نوع فسفوناتها به طراحان مسیر اجازه میدهد تا با دستکاری ساده ساختار جانبی، selectivity و سرعت واکنشها را بهینه کنند. در کنار این مزایا، ویژگیهای ایمنی و جریانهای ضایعاتی نیز باید از ابتدا در طراحی فرایند لحاظ شود تا بهرهوری بالا در کنار ریسک پایین حاصل شود.
در بخشهای بعدی ساختار، خواص، فیزیکوشیمی، کاربردها، مزایا و معایب، ویژگیها، مضرات و خطرات و سوالات متداول به تفصیل توضیح داده شده است.
دانش پژوهان شیمی نمایندگی مواد شیمیایی سیگماآلدریچ در ایران می باشد. این مجموعه کلیه محصولات و مواد شیمیایی آزمایشگاهی را از جمله محصولات مرک merck ، و سیگماآلدریچ sigmaaldrich ، و کلیه محصولات آزمایشگاهی و صنعتی را به مشتریان ارائه می دهد.
دی اتیل ۱-سیانو اتیل فسفونات کد 408573 یکی از محصولات تولیدی شرکت سیگماآلدریچ sigmaaldrich می باشد. این شرکت یکی از بزرگترین کمپانی های تولیدی مواد شیمیایی آزمایشگاهی در جهان می باشد که در بین محققین و دانشمندان و… از جایگاه ویژه ای برخوردار است.

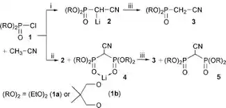
توصیف ساختاری: یک گروه فسفونات دیاتیل (—P(O)(OEt)₂) که به کربن α متصل است؛ آن کربن دارای یک گروه سیانو (—CN) و یک گروه متیل است (در موقعیت 1-سیانو-اتیل).
نکته ساختاری: وجود گروه فسفونات بهعنوان الکتروندهنده/پایدارکننده واسطه و گروه سیانو بهعنوان الکترونگیر یا عاملی جهت تبدیلهای بعدی اهمیت دارد.
رفتار الکترونیکی: گروه سیانو باعث الکترونکش بودن کربن آلفا میشود؛ فسفونات دیاتیل میتواند واسطهها را پایدار کند.
واکنشپذیری: قابلیت شرکت در واکنشهای افزودنی-تفکیکی، واکنشهای نیتریلدرگیری، و نیز میتواند تحت شرایط بازی یا اسیدی فعال شود.
پایداری شیمیایی: نسبتاً پایدار در شرایط خشک و حلالهای آلی معمول؛ با آب و اسیدهای قوی یا بازهای قوی ممکن است واکنش دهد (هیدرولیز).
نقش سنتزی: بهعنوان فسفونات آلفا-فعال برای ایجاد کاربن-کاربن یا تبدیل گروه سیانو به گروههای دیگر (مثلاً آمید یا اسید) قابل استفاده است.
دعوت ویژه برای بازدید از محصولات و مقالات ما
از شما دعوت میکنیم برای آشنایی بیشتر با محصولات آزمایشگاهی و مقالات تخصصی ما، سری به وبسایت بزنید و سایر محصولات از جمله هگزا متیلن ایمین را مشاهده کنید. هدف ما این است که فرآیند خرید شما سریعتر، آسانتر و با اطمینان کامل انجام شود.
همین حالا روی لینک زیر کلیک کنید و از محتوای آموزشی و محصولات متنوع ما دیدن کنید:

اگه وارد این صفحه شدی، احتمالاً:
نمیخوای روی سنتزت ریسک کنی
دنبال مادهای هستی که امتحان خودش رو پس داده
کیفیت کارت برات مهمتر از ارزونترین قیمت بازاره
دی اتیل ۱-سیانو اتیل فسفونات که دانشپژوهان شیمی تأمین میکنه دقیقاً برای همین آدمهاست؛ کسایی که میخوان با خیال راحت آزمایش کنن، توسعه بدن و نتیجه بگیرن.
📌 جمعبندی حرفهای:
این ماده انتخاب کساییه که بهجای آزمون و خطای پرهزینه، میخوان مستقیم به نتیجه برسن.
🔘 دریافت قیمت و مشاوره تخصصی
🔘 ثبت سفارش فوری
واتساپ: 09129618292
واسطه در سنتز ترکیبات دارویی و واسطههای آلی
بهعنوان بلوک ساختاری برای تولید مولکولهای حاوی گروه سیانو یا مشتقات آن (آمیدها، اسیدها و آمینها) کاربرد دارد. گروه سیانو قابل تبدیل به گروههای عملکردی مختلف است که در مسیرهای داروسازی اهمیت دارد.
شرکت در واکنشهای افزودنی برای ایجاد پیوند C–C
بهعنوان یک فسفونات فعال میتواند در واکنشهایی که نیاز به ایجاد پیوند کربن–کربن دارند نقش واسطهای ایفا کند، مخصوصاً در مسیرهایی که selectivity و کنترل استریوشیمی مهم است.
سنتز نیتریلدارها و تبدیلهای بعدی
گروه CN میتواند به گروههای آمیدی یا کربوکسیلی تبدیل شود؛ بنابراین این ماده برای تولید پیشسازهای متنوع شیمیایی مناسب است.
پیشماده در تهیه عوامل آلی-فسفونی و فسفونیلسازی
در تولید برخی ترکیبات فسفونی اصلاحشده یا بهعنوان واکنشدهنده برای معرفی بخش فسفونات در مولکولهای پیچیده کاربرد دارد.
کاربرد در تحقیق و توسعه (R&D)
بهعنوان مدل فسفونات α-فعال، محققان آن را در مسیرهای جدید سنتزی و برای بهینهسازی واکنشهای کاتالیستی و غیرکاتالیستی مطالعه میکنند.
شیمی پلیمرها (موارد خاص)
در صورتی که تبدیل گروهها به لینکهای واکنشپذیر انجام شود، میتواند بعنوان جزء واسطهای در ساخت مواد دارای گروههای فسفونات یا نیتریل در پلیمرها مورد استفاده قرار گیرد.
سازگاری با واکنشهای آلفا-الکتروفیلی/نوکلئوفیلی
در مسیرهای متنوع که نیاز به کنترل الکترونیکی مرکز کربنی دارند، بهعنوان ابزار طراحی واکنش بهکار میرود.

برای خرید دی اتیل ۱-سیانو اتیل فسفونات سیگما از سایت رسمی دانشپژوهان شیمی، کافیست مراحل ساده زیر را دنبال کنید:
🔹 استاندارد بستهبندی و ایمنی:
این محصول باید در ظروف مقاوم، دربسته و عایق رطوبت بستهبندی شود تا خواص آن در حین حملونقل و نگهداری دچار تغییر نشود.
🔹 تأمین از برندهای معتبر:
ما این ماده را تنها از برندهای مطرحی مانند Merck (مرک) و Sigma-Aldrich (سیگما آلدریچ) تأمین میکنیم تا بالاترین خلوص و کیفیت برای شما تضمین شود.
🔹 مناسب برای مصرف آزمایشگاهی و صنعتی:
در صورت نیاز به خرید جزئی یا عمده، کارشناسان ما آماده ارائه مشاوره علمی و فنی پیش از خرید هستند.
📦 موجودی در بستهبندیهای متنوع
قابل ارائه در بسته بندی: 5×10ml – 10ml با ارسال سریع به سراسر کشور.
📞 ثبت سفارش و دریافت مشاوره تخصصی:
برای ثبت سفارش یا دریافت قیمت بهروز، با ما تماس بگیرید یا فرم سفارش را از طریق وبسایت تکمیل کنید.
تلفن: [02166859216 – 02166859220 – 09129618292]
ایمیل: [info@daneshpazhoohaneshimi.com]
سایت: [www.daneshpazhoohaneshimi.com]
🎯 همین حالا اقدام کنید!
دی اتیل ۱-سیانو اتیل فسفونات کد 408573 خالص و آزمایشگاهی را با شرایط ویژه از تأمینکننده معتبر دریافت نمایید.

شرکت دانش پژوهان شیمی که نمایندگی مرک آلمان و نمایندگی سیگماآلدریچ در ایران، با همکاری کارشناسان مجرب خود در بخش فنی و فروش، جهت تامین مواد اولیه پژوهش های تحقیقاتی ماده های با کیفیت بالا و قیمت مناسب را فراهم نموده است. شما می توانید جهت خرید دی اتیل ۱-سیانو اتیل فسفونات با بخش فروش شرکت دانش پژوهان شیمی تماس حاصل بفرمایید و پس از دریافت پیش فاکتور و اطمینان حاصل نمودن از صحت نام محصول، کد، شماره CAS نامبر مواد شیمیایی درخواستی اقدام به ثبت سفارش نمایید تحویل کالاهای خریداری شده و زمان تحویل آنها به صورت زیر می باشد.

دی اتیل ۱-سیانو اتیل فسفونات با برند Merck یکی از معتبرترین گزینهها در بازار جهانی است. بستهبندی استاندارد، برچسبگذاری دقیق و کنترل کیفی سختگیرانه، این محصول را برای آزمایشگاههای حرفهای ایدهآل کرده است. دانش پژوهان شیمی این محصول را با تضمین اصالت عرضه میکند.
در دانش پژوهان شیمی، فقط محصولاتی عرضه میشود که از نظر اصالت، خلوص و تاریخ مصرف قابل اطمینان باشند؛ چون اینجا فروش یکباره مهم نیست، اعتماد بلندمدت مهم است.
👉 آمادهای پروژهات رو حرفهای جلو ببری؟
🧪 خلوص بالا
📦 بستهبندی استاندارد آزمایشگاهی
📞 مشاوره تخصصی قبل از خرید
👉 همین حالا دی اتیل ۱-سیانو اتیل فسفونات کد 408573 رو از دانش پژوهان شیمی تهیه کن
برای خرید دی اتیل ۱-سیانو اتیل فسفونات آزمایشگاهی، حتماً به برند، کد محصول، گرید و شرایط نگهداری توجه کنید. خرید از یک مرجع معتبر باعث میشود هم در زمان صرفهجویی کنید و هم از دوبارهکاریهای پرهزینه جلوگیری شود.
گروه فسفونات میتواند بار الکترونیکیِ ایجادشده در واسطه واکنش را پخش کرده و از تخریب جانبی جلوگیری کند؛ این خصوصیت، واکنشپذیری هدفمند را تسهیل میکند.
2. گروه سیانو بهعنوان تابع تبدیلپذیر —CN یک گروه تابعپذیر است که میتواند به آمید، آمین، یا اسید تبدیل شود و بنابراین تنوع واکنشی بالایی فراهم میآورد. 3. آمادهسازی پلیفازی واکنشها سازگاری با حلالهای آلی امکان انجام واکنشها در سیستمهای غیرآبی را فراهم میکند که برای برخی فرایندها مطلوب است. 4. قابلیت استفاده در مسیرهای مولکولسازی پیچیده با استفاده از این ماده میتوان واحدهای سازنده چندمرحلهای با کنترل استریوشیمی ساخت. 5. قابلیت تنظیم واکنش با افزودن کاتالیزورها رفتار الکترونیکی مولکول امکان استفاده از کاتالیزورهای بازی یا اسیدی را برای کنترل مسیر واکنش فراهم میآورد.
✔ تأمین مواد شیمیایی تحقیقاتی و صنعتی
✔ مناسب برای دانشجویان، پژوهشگران و صنایع دارویی و شیمی آلی
✔ ارائه مشاوره فنی و راهنمایی پیش از خرید
✔ بستهبندی استاندارد و ایمن
✔ امکان سفارش تلفنی و آنلاین
دانش پژوهان شیمی فقط معرفیکننده نیست؛
مرجع تخصصی خرید و فروش مواد شیمیایی و تحقیقاتی است.
۱) این ماده چه شکلی عرضه میشود؟
عموماً بهصورت مایع در بطریهای شیشهای یا در بعضی موارد در حلال خام عرضه میشود؛ شکل دقیق بستگی به خلوص و فرم تولید دارد.
۲) آیا گروه سیانو خطرناک است؟
گروه سیانو در خود مولکول ترکیب شده است؛ در بسیاری از مشتقات سیانیدهای پیچیده خطر کمتری نسبت به سیانیدهای آزاد وجود دارد، اما تبدیل یا تجزیه میتواند یونهای سیانیدی سمی تولید کند؛ بنابراین احتیاط لازم است.
۳) آیا میتوان این ماده را در آب حل کرد؟
محلولیت در آب محدود است و تماس با آب میتواند باعث هیدرولیز شود؛ بهتر است واکنشها در حلالهای آلی کنترلشده انجام شود.
۴) برای چه واکنشهایی مناسبتر است؟
برای واکنشهای آلفا-فعال که نیاز به یک فسفونات جهت تثبیت واسطه و وجود گروه قابل تبدیل CN دارند؛ مناسب برای مسیرهای سنتزی مولکولهای پیچیده و واسطههای دارویی.
۵) چه جایگزینهایی وجود دارد؟
بسته به واکنش، فسفوناتهای دیگر یا الکترونگریز/دهندههای مشابه ممکن است جایگزین شوند؛ انتخاب جایگزین باید براساس سازگاری واکنش و هزینه انجام شود.
اگر بهدنبال خرید دی اتیل ۱-سیانو اتیل فسفونات اصل با قیمت مناسب و ارسال سریع هستید،
دانش پژوهان شیمی انتخابی است که دانشگاهها، پژوهشگران و آزمایشگاههای حرفهای به آن اعتماد دارند.
همین حالا سفارش خود را ثبت کنید و با اطمینان آزمایشتان را پیش ببرید.
✔ مناسب سنتز دارویی
✔ خلوص بالا
✔ ارسال سریع
✔ پشتیبانی علمی
🔘 📞 تماس فوری
🔘 💬 مشاوره واتساپ
در طراحی فرایند، از آزمون کوچکمقیاس برای بررسی هیدرولیز و رفتار محصول در حلالهای مختلف آغاز کنید.
نمونهگیری و آزمون خلوص قبل از استفاده در واکنشهای حساس توصیه میشود.
در صورت نیاز به تبدیل گروه CN به آمید یا اسید، روشهای استاندارد (هیدرولیز کنترلشده یا تبدیل با عوامل مناسب) قابل استفادهاند—اما این مراحل باید تحت شرایط ایمن انجام شود. خرید دی اتیل ۱-سیانو اتیل فسفونات قیمت دی اتیل ۱-سیانو
شرکت دانش پژوهان شیمی یکی از بزرگترین وارد کنندگان و فروشندگان مواد شیمیایی، آزمایشگاهی بخصوص فروش دی اتیل ۱-سیانو اتیل فسفونات کد 408573 که از محصولات نمایندگی مرک آلمان می باشد. این شرکت در زمینه واردات محصولات از تجربه بسیار بالایی برخوردار است. شما می توانید جهت تهیه این محصولات (اصلی) با بخش فروش شرکت تماس گرفته و با کارشناسان این شرکت در ارتباط باشید. از طریق کانال واتساپ شرکت نام محصول به همراه میزان نیاز خود را ارسال تا در کمترین زمان پاسخ استعلام خود را دریافت نمائید. امیدواریم بتوانیم با ارائه محصولات اصلی و با بهترین کیفیت شما را برای رسیدن به اهدافتان یاری نمائیم.
جهت محصولات بیشتر واستعلام سریع قیمت دی اتیل ۱-سیانو اتیل فسفونات کد 408573 میتوانید از طریق کانال واتساپ شرکت با ارسال نام ماده و مقدار نیاز در کمترین زمان پاسخ استعلام خود را دریافت نمائید.
راههای ارتباطی
شماره های تماس:
021-66859216
021-66859220 (ساعات تماس:8.30 الی 19)
واتساپ:09129618292 (24ساعت)
Last Updated on 01/05/2026 by adminm