کینین سولفات سیگما کد Q0132 در میان ترکیبات آلی با منشأ طبیعی، برخی مواد به دلیل ساختار پیچیده و اثرگذاری شیمیایی بالا، جایگاه ویژهای در علوم شیمی و زیستپژوهی دارند.
کینین سولفات یکی از همین ترکیبات ارزشمند است که سالهاست در مطالعات مختلف مورد توجه قرار گرفته و بهعنوان یک ماده شناختهشده در محیطهای پژوهشی استفاده میشود. این ترکیب از نظر شیمیایی، رفتاری خاص و قابلتوجه دارد که آن را برای بررسی واکنشها و سیستمهای مختلف مناسب کرده است.
کینین سولفات به دلیل داشتن ساختار حلقوی پیچیده و گروههای عاملی فعال، توانایی شرکت در واکنشهای متنوع را دارد. همین موضوع باعث شده که نهتنها در تحقیقات پایه، بلکه در مطالعات کاربردی نیز مورد استفاده قرار گیرد.
ویژگی مهم این ماده، پایداری نسبی در شرایط کنترلشده و در عین حال واکنشپذیری قابل مدیریت آن است. در این مقاله تلاش شده است کینین سولفات سیگما کد Q0132 بهصورت جامع و کاربردی معرفی شود.
از بررسی ساختار و خواص فیزیکوشیمیایی گرفته تا کاربردها، خطرات احتمالی و نکات ایمنی، همه مطالب بهگونهای نوشته شدهاند که هم برای افراد متخصص و هم برای کاربران عمومی قابل فهم و قابل استفاده باشند.
در شرکت دانش پژوهان شیمی، اصالت و کیفیت کالا برای ما در اولویت است. شما میتوانید کینین سولفات سیگما را می توانید از برند معتبر Merck / Sigma را همراه با برگه آنالیز (COA)، بستهبندی استاندارد و مشاوره علمی تخصصی دریافت کنید.
📌 این محصول با کد Q0132 آماده عرضه میباشد.
برای ثبت سفارش و دریافت قیمت روز، با کارشناسان ما تماس بگیرید:
☎️ تلفن: 02166859220(ساعات پاسخگویی: 8:30 تا 18:00)
📱 واتساپ: 09129618292 (پشتیبانی 24 ساعته)
دانشجویان، پژوهشگران و فعالان حوزه تحقیقاتی میتوانند با اطمینان خاطر، این ماده شیمیایی را از دانش پژوهان شیمی تهیه کنند و پروژههای آزمایشگاهی خود را با کیفیت و دقت بیشتری پیش ببرند.

کینین سولفات یک ترکیب آلی با ساختار نسبتاً پیچیده است که بهصورت نمک سولفاته کینین شناخته میشود. این ماده معمولاً به شکل پودر یا بلور سفید تا کرمرنگ مشاهده میشود و طعم بسیار تلخی دارد که یکی از ویژگیهای شناختهشده آن است. کینین سولفات در آب حلالیت محدودی دارد، اما در برخی محیطها و شرایط خاص بهخوبی قابل استفاده است.
کد Q0132 بهعنوان شناسه این ماده در محیطهای آزمایشگاهی به کار میرود و امکان شناسایی دقیق آن را فراهم میکند. ساختار مولکولی کینین سولفات شامل حلقههای آلی چندگانه و گروههای عاملی فعال است که همین موضوع، رفتار شیمیایی ویژهای به آن میبخشد.
این ترکیب بیشتر در محیطهای تحقیقاتی، آموزشی و آزمایشگاهی استفاده میشود و به دلیل ویژگیهای خاص خود، در بررسی واکنشهای شیمیایی و سیستمهای مدل کاربرد دارد. شناخت صحیح این ماده، به استفاده ایمن و مؤثر از آن کمک میکند.
دانش پژوهان شیمی نمایندگی مواد شیمیایی سیگماآلدریچ در ایران می باشد. این مجموعه کلیه محصولات و مواد شیمیایی آزمایشگاهی را از جمله محصولات مرک merck ، و سیگماآلدریچ sigmaaldrich ، و کلیه محصولات آزمایشگاهی و صنعتی را به مشتریان ارائه می دهد.
کینین سولفات سیگما یکی از محصولات تولیدی شرکت سیگماآلدریچ sigmaaldrich می باشد. این شرکت یکی از بزرگترین کمپانی های تولیدی مواد شیمیایی آزمایشگاهی در جهان می باشد که در بین محققین و دانشمندان و… از جایگاه ویژه ای برخوردار است.
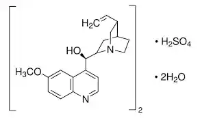
ساختار کینین سولفات شامل:
کینین سولفات از نظر فیزیکی بهصورت جامد بلوری یا پودر دیده میشود و رنگ آن معمولاً سفید مایل به کرم است. این ماده بوی خاصی ندارد اما طعم آن بسیار تلخ است. حلالیت آن در آب محدود است، اما در برخی شرایط آزمایشگاهی میتوان از محلولهای آن استفاده کرد.
از نظر شیمیایی، کینین سولفات ترکیبی نسبتاً پایدار محسوب میشود، اما در برابر نور، رطوبت و حرارت زیاد باید با احتیاط نگهداری شود. ساختار پیچیده آن باعث میشود که واکنشپذیری آن نسبت به ترکیبات سادهتر، کنترلشدهتر باشد.
این ماده در محیطهای اسیدی و خنثی رفتار متفاوتی از خود نشان میدهد و همین ویژگی، آن را برای مطالعات مقایسهای و بررسی رفتار شیمیایی مواد مناسب کرده است. کنترل شرایط محیطی نقش مهمی در حفظ کیفیت و پایداری کینین سولفات دارد.
دعوت ویژه برای بازدید از محصولات و مقالات ما
از شما دعوت میکنیم برای آشنایی بیشتر با محصولات آزمایشگاهی و مقالات تخصصی ما، سری به وبسایت بزنید و سایر محصولات از جمله دکستران را مشاهده کنید. هدف ما این است که فرآیند خرید شما سریعتر، آسانتر و با اطمینان کامل انجام شود.
همین حالا روی لینک زیر کلیک کنید و از محتوای آموزشی و محصولات متنوع ما دیدن کنید:

1. ماده مرجع استاندارد در آزمایشهای شیمیایی
کینین سولفات بهدلیل خلوص مشخص و رفتار شیمیایی قابل پیشبینی، بهعنوان ماده مرجع در بسیاری از آزمایشهای شیمیایی استفاده میشود. این ویژگی باعث میشود نتایج آزمایشها قابل مقایسه و تکرارپذیر باشند و خطای تحلیلی کاهش یابد.
2. استفاده در توسعه و ارزیابی روشهای تحلیلی
این ترکیب در طراحی، اعتبارسنجی و بررسی دقت روشهای تحلیلی به کار میرود. ساختار پایدار و مشخص کینین سولفات آن را به گزینهای مناسب برای بررسی عملکرد روشهای اندازهگیری و آنالیز تبدیل کرده است.
3. کاربرد پژوهشی در شیمی آلی پیشرفته
به دلیل ساختار حلقوی پیچیده، کینین سولفات در مطالعات شیمی آلی بهعنوان یک ترکیب مدل استفاده میشود. پژوهشگران از آن برای بررسی رفتار واکنشهای آلی و تحلیل تأثیر گروههای عاملی استفاده میکنند.
4. استفاده در تحقیقات زیستی و بیوشیمیایی
کینین سولفات در برخی مطالعات زیستی بهعنوان ماده کمکی یا مدل شیمیایی به کار میرود. رفتار این ترکیب در محیطهای زیستی کنترلشده، اطلاعات ارزشمندی درباره تعامل مولکولهای پیچیده ارائه میدهد.
5. کاربرد در آزمایشگاههای آموزشی و دانشگاهی
در محیطهای آموزشی، این ماده برای آموزش مفاهیم پیشرفتهای مانند ترکیبات حلقوی، نمکهای آلی و تحلیل خواص فیزیکوشیمیایی مورد استفاده قرار میگیرد. این کاربرد به درک بهتر مفاهیم نظری کمک میکند.
6. استفاده در مطالعات مقایسهای ترکیبات مشابه
کینین سولفات بهعنوان نمونه معیار، در مقایسه رفتار شیمیایی و فیزیکی ترکیبات مشابه استفاده میشود. این موضوع به پژوهشگران کمک میکند تفاوتها و شباهتهای ساختاری را دقیقتر بررسی کنند.
7. بررسی پایداری و رفتار ترکیبات آلی پیچیده
از این ماده برای مطالعه پایداری ترکیبات آلی در شرایط مختلف مانند تغییر دما، نور و رطوبت استفاده میشود. نتایج این مطالعات در طراحی و نگهداری مواد شیمیایی اهمیت زیادی دارد.
8. کاربرد در سیستمهای مدل و شبیهسازی واکنشها
کینین سولفات بهعنوان یک سیستم مدل در شبیهسازی واکنشهای شیمیایی به کار میرود. این کاربرد به تحلیل مسیرهای واکنشی و پیشبینی رفتار ترکیبات مشابه کمک میکند.
برای خرید کینین سولفات سیگما کد Q0132 از سایت رسمی دانشپژوهان شیمی، کافیست مراحل ساده زیر را دنبال کنید:
🔹 استاندارد بستهبندی و ایمنی:
این محصول باید در ظروف مقاوم، دربسته و عایق رطوبت بستهبندی شود تا خواص آن در حین حملونقل و نگهداری دچار تغییر نشود.
🔹 تأمین از برندهای معتبر:
ما این ماده را تنها از برندهای مطرحی مانند Merck (مرک) و Sigma-Aldrich (سیگما آلدریچ) تأمین میکنیم تا بالاترین خلوص و کیفیت برای شما تضمین شود.
🔹 مناسب برای مصرف آزمایشگاهی و صنعتی:
در صورت نیاز به خرید جزئی یا عمده، کارشناسان ما آماده ارائه مشاوره علمی و فنی پیش از خرید هستند.
📦 موجودی در بستهبندیهای متنوع
قابل ارائه در بسته بندی: 25گرم با ارسال سریع به سراسر کشور.
📞 ثبت سفارش و دریافت مشاوره تخصصی:
برای ثبت سفارش یا دریافت قیمت بهروز، با ما تماس بگیرید یا فرم سفارش را از طریق وبسایت تکمیل کنید.
تلفن: [02166859216 – 02166859220 – 09129618292]
ایمیل: [info@daneshpazhoohaneshimi.com]
سایت: [www.daneshpazhoohaneshimi.com]
🎯 همین حالا اقدام کنید!
کینین سولفات سیگما کد Q0132 خالص و آزمایشگاهی را با شرایط ویژه از تأمینکننده معتبر دریافت نمایید.

شرکت دانش پژوهان شیمی که نمایندگی مرک آلمان و نمایندگی سیگماآلدریچ در ایران، با همکاری کارشناسان مجرب خود در بخش فنی و فروش، جهت تامین مواد اولیه پژوهش های تحقیقاتی ماده های با کیفیت بالا و قیمت مناسب را فراهم نموده است. شما می توانید جهت خرید کینین سولفات سیگما با بخش فروش شرکت دانش پژوهان شیمی تماس حاصل بفرمایید و پس از دریافت پیش فاکتور و اطمینان حاصل نمودن از صحت نام محصول، کد، شماره CAS نامبر مواد شیمیایی درخواستی اقدام به ثبت سفارش نمایید تحویل کالاهای خریداری شده و زمان تحویل آنها به صورت زیر می باشد.
تحریک پوست و چشم در تماس مستقیم
ناراحتی گوارشی در صورت بلع
تحریک دستگاه تنفسی در استنشاق گرد و غبار
حساسیت در افراد مستعد
استفاده از دستکش و عینک ایمنی
کار در محیط دارای تهویه مناسب
نگهداری در ظروف دربسته و دور از نور
جلوگیری از تماس مستقیم با پوست و چشم
دور نگهداشتن از حرارت و رطوبت
کینین سولفات کد Q0132 یک ترکیب آلی ارزشمند با ساختار پیچیده و کاربردهای متنوع آزمایشگاهی و پژوهشی است. شناخت خواص، کاربردها و خطرات احتمالی این ماده، استفاده ایمن و مؤثر از آن را در محیطهای کاری تضمین میکند و نقش مهمی در افزایش دقت نتایج پژوهشی دارد.
1. کینین سولفات چه نوع ترکیبی است؟
یک ترکیب آلی نمکی با ساختار پیچیده.
2. آیا این ماده در آب حل میشود؟
حلالیت محدودی در آب دارد.
3. مهمترین کاربرد آن چیست؟
استفاده در تحقیقات و آزمایشهای شیمیایی.
4. آیا نگهداری خاصی نیاز دارد؟
بله، باید دور از نور و رطوبت نگهداری شود.
5. آیا تماس مستقیم با آن خطرناک است؟
در صورت عدم رعایت نکات ایمنی میتواند تحریککننده باشد.
شرکت دانش پژوهان شیمی یکی از بزرگترین وارد کنندگان و فروشندگان مواد شیمیایی، آزمایشگاهی بخصوص فروش کینین سولفات سیگما کد Q0132 که از محصولات نمایندگی مرک آلمان می باشد. این شرکت در زمینه واردات محصولات از تجربه بسیار بالایی برخوردار است. شما می توانید جهت تهیه این محصولات (اصلی) با بخش فروش شرکت تماس گرفته و با کارشناسان این شرکت در ارتباط باشید. از طریق کانال واتساپ شرکت نام محصول به همراه میزان نیاز خود را ارسال تا در کمترین زمان پاسخ استعلام خود را دریافت نمائید. امیدواریم بتوانیم با ارائه محصولات اصلی و با بهترین کیفیت شما را برای رسیدن به اهدافتان یاری نمائیم.
جهت محصولات بیشتر واستعلام سریع قیمت کینین سولفات سیگما کد Q0132 میتوانید از طریق کانال واتساپ شرکت با ارسال نام ماده و مقدار نیاز در کمترین زمان پاسخ استعلام خود را دریافت نمائید.
راههای ارتباطی
شماره های تماس:
021-66859216
021-66859220 (ساعات تماس:8.30 الی 19)
واتساپ:09129618292 (24ساعت)
Last Updated on 12/21/2025 by adminm