D فروکتوز کد F0127 یا D-(−)-فروکتوز یک نوع شکر مختصر و یک مونوساکارید است که به عنوان یکی از مهمترین واحدهای تشکیلدهنده قند در طبیعت شناخته میشود. این محصول در بسیاری از مواد غذایی مانند میوهها، عسل و شکر وجود دارد و برای مصرف انسانی اهمیت زیادی دارد. در ادامه، به بررسی مختصری از D-(−)-فروکتوز و کاربردهای آن در مواد غذایی، پزشکی و صنایع دیگر خواهیم پرداخت.
D-فروکتوز نوعی قند ساده است که بهطور طبیعی در میوهها، عسل و برخی سبزیجات وجود دارد. این ماده به دلیل شیرینی زیاد و خواص خاص خود، در صنایع غذایی بسیار مورد استفاده قرار میگیرد.
دانش پژوهان شیمی نمایندگی مواد شیمیایی سیگماآلدریچ در ایران می باشد. این مجموعه کلیه محصولات و مواد شیمیایی آزمایشگاهی را از جمله محصولات مرک merck ، و سیگماآلدریچ sigmaaldrich ، و کلیه محصولات آزمایشگاهی و صنعتی را به مشتریان ارائه می دهد.
دی فروکتوز کد F0127 یکی از محصولات تولیدی شرکت مرک آلمان می باشد. این شرکت یکی از بزرگترین کمپانی های تولیدی مواد شیمیایی آزمایشگاهی در جهان می باشد که در بین محققین و دانشمندان و… از جایگاه ویژه ای برخوردار است.

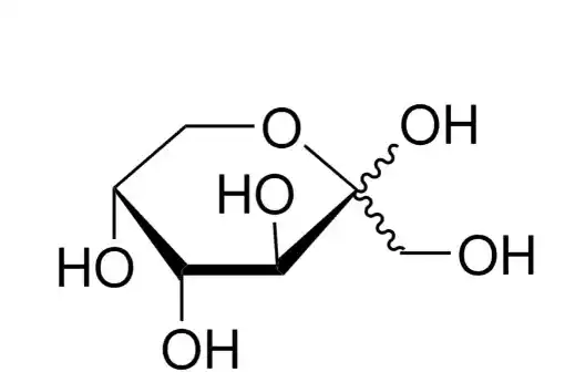
D فروکتوز (D-fructose) یک نوع شکر مختصر و یکی از انواع مهم قندها در طبیعت است. این شکر به صورت یک مونوساکارید دستهبندی میشود و دارای فرمول شیمیایی C6H12O6 میباشد. D-فروکتوز به عنوان یکی از اصلیترین مواد تشکیلدهنده قندها در میوهها، عسل و بسیاری از مواد غذایی دیگر وجود دارد.
D-فروکتوز مهمترین انواع فروکتوز است و دارای ویژگیهایی مشابه با سایر انواع قندها مانند گلوکز و ساکارز (شکر ساده) است. این ماده در بدن انسان به سرعت جذب میشود و انرژی لازم برای فعالیتهای مختلف فراهم میکند.
مصرف D فروکتوز در مواد غذایی به عنوان یک منبع شیرینیدهی بسیار متداول است. این ماده به عنوان افزودنی طبیعی در تولید مواد غذایی مختلف مانند مربا، کمپوت، شیرینیها، نوشیدنیهای میوهای و بسیاری از محصولات پختوپزی استفاده میشود. همچنین، در صنایع داروسازی و شیمیایی نیز به عنوان یک ماده اولیه مورد استفاده قرار میگیرد.
در مصارف بهداشتی و پزشکی نیز برخی مطالعات نشان دادهاند که D-فروکتوز ممکن است در مدیریت برخی بیماریها و وضعیتهای سلامتی موثر باشد، اما این مسئله همچنان در مرحله تحقیقاتی قرار دارد و نیاز به مطالعات بیشتر دارد.
شرکت دانش پژوهان شیمی نمایندگی سیگماآلدریچ در ایران با همکاری کارشناسان مجرب خود در بخش فنی و فروش جهت تامین مواد اولیه پژوهش های تحقیقاتی ماده خرید مواد شیمیایی سیگماآلدریچ با کیفیت بالا و قیمت مناسب را فراهم نموده است.
شما می توانید جهت خرید این ماده با بخش فروش شرکت دانش پژوهان شیمی تماس حاصل بفرمایید و پس از دریافت پیش فاکتور و اطمینان حاصل کردن از صحیح بودن شماره CAS نامبر مواد شیمیایی درخواستی اقدام به ثبت سفارش نمایید تحویل کالاهای خریداری شده و زمان تحویل آنها به صورت زیر می باشد.
شرکت سیگما آلدریچ (Sigma) یک شرکت پیشرو در زمینه تولید مواد شیمیایی، محصولات آزمایشگاهی و تجهیزات آزمایشگاهی است. برای مشاهده لیست قیمت محصولات سیگما می توانید به وب سایت آنها به آدرس https://www.sigmaaldrich.com/ مراجعه کنید. در این وب سایت می توانید به راحتی محصولات سیگما را بر حسب نام، شماره فهرست، دسته بندی، برند و… جستجو کنید. همچنین، می توانید با مشاهده فهرست محصولات در بخش های مختلف وب سایت، به راحتی به دسته بندی های محصولات سیگما دسترسی پیدا کنید.
فرمول شیمیایی: C6H12O6
وزن مولکولی: 180.16 گرم بر مول
ساختار: دارای ساختار حلقوی و خطی (پیرانوز و فورانوز)
شیرینی: حدود 1.7 برابر شیرینتر از ساکارز
D-(−)-فروکتوز یک شکر مختصر مهم در صنایع مختلف است و دارای کاربردهای متنوعی است. در ادامه به برخی از کاربردهای اصلی آن اشاره میشود:
شیرینیدهنده: D-(−)-فروکتوز به عنوان یک شیرینکننده طبیعی در صنایع غذایی به محصولات شیرینیپزی افزوده میشود. این ماده شیرینی مشابهی با شکر دارد و به عنوان جایگزین شکر معمولی (ساکارز) در تولید محصولات شیرینیپزی مورد استفاده قرار میگیرد.
تولید نوشیدنیهای میوهای: D-(−)-فروکتوز به عنوان یک شیرینکننده طبیعی در تولید نوشیدنیهای میوهای مورد استفاده قرار میگیرد. این ماده میتواند به نوشیدنیها طعم شیرینی میوهها را بدهد.
محصولات دارویی: D-(−)-فروکتوز در صنایع داروسازی به عنوان یک ماده اولیه در تولید برخی از داروها و محصولات دارویی استفاده میشود.
مواد شیمیایی: این شکر در صنایع شیمیایی به عنوان یک ماده اولیه برای تولید محصولات شیمیایی مورد استفاده قرار میگیرد.
تحقیقات علمی: D-(−)-فروکتوز در تحقیقات علمی به عنوان یک مولکول مورد استفاده قرار میگیرد. این ماده میتواند در مطالعات بیوشیمیایی، فیزیولوژیکی، و بیولوژیکی به عنوان یک مولکول مدل استفاده شود.
تاکنون، D-(−)-فروکتوز به عنوان یک شیرینکننده طبیعی و ماده اولیه در صنایع مختلف بسیار مهم و مفید استفاده میشود. همچنین، تحقیقات بیشتری در زمینه کاربردهای پتانسیل این ماده در موارد دیگر نیز در حال انجام است.

برای خرید دی فروکتوز کد F0127 از سایت رسمی دانشپژوهان شیمی، کافیست مراحل ساده زیر را دنبال کنید:
🔹 استاندارد بستهبندی و ایمنی:
این محصول باید در ظروف مقاوم، دربسته و عایق رطوبت بستهبندی شود تا خواص آن در حین حملونقل و نگهداری دچار تغییر نشود.
🔹 تأمین از برندهای معتبر:
ما این ماده را تنها از برندهای مطرحی مانند Merck (مرک) و Sigma-Aldrich (سیگما آلدریچ) تأمین میکنیم تا بالاترین خلوص و کیفیت برای شما تضمین شود.
🔹 مناسب برای مصرف آزمایشگاهی و صنعتی:
در صورت نیاز به خرید جزئی یا عمده، کارشناسان ما آماده ارائه مشاوره علمی و فنی پیش از خرید هستند.
📦 موجودی در بستهبندیهای متنوع
قابل ارائه در بستهبندیهای 100g – 500g – 1kg – 5kg و بیشتر با ارسال سریع به سراسر کشور.
📞 ثبت سفارش و دریافت مشاوره تخصصی:
برای ثبت سفارش یا دریافت قیمت بهروز، با ما تماس بگیرید یا فرم سفارش را از طریق وبسایت تکمیل کنید.
راههای ارتباطی:
تلفن: [02166859216 – 02166859220 – 09129618292]
ایمیل: [info@daneshpazhoohaneshimi.com]
سایت: [www.daneshpazhoohaneshimi.com]
🎯 همین حالا اقدام کنید!
منیزیم اتوکسید خالص و آزمایشگاهی را با شرایط ویژه از تأمینکننده معتبر دریافت نمایید.
شرکت دانش پژوهان شیمی که بزرگترین نمایندگی مرک آلمان و نمایندگی سیگماآلدریچ در ایران، با همکاری کارشناسان مجرب خود در بخش فنی و فروش، جهت تامین مواد اولیه پژوهش های تحقیقاتی ماده D فروکتوز کد F0127 با کیفیت بالا و قیمت مناسب را فراهم نموده است. شما می توانید جهت خرید این ماده با بخش فروش شرکت دانش پژوهان شیمی تماس حاصل بفرمایید و پس از دریافت پیش فاکتور و اطمینان حاصل نمودن از صحت نام محصول، کد، شماره CAS نامبر مواد شیمیایی درخواستی اقدام به ثبت سفارش نمایید تحویل کالاهای خریداری شده و زمان تحویل آنها به صورت زیر می باشد.
زمان ارسال سفارشات از انبار: ۲۴ تا ۴۸ ساعت کاری می باشد
نحوه ارسال کالای مشتریان: تهران توسط پیک
ارسال شهرستان: توسط شرکت های حمل و نقل ( ترمینال، پست، تیپاکس)

گلوکز: جذب سریع در خون و افزایش سریع قند خون
فروکتوز: جذب آهستهتر و تأثیر کمتر بر قند خون
ساکارز: دیساکاریدی متشکل از یک واحد گلوکز و یک واحد فروکتوز
5. مزایا و معایب مصرف D-فروکتوز
شاخص گلیسمی پایین: مناسب برای افراد دیابتی
شیرینی بالا: نیاز به مقدار کمتر برای شیرین کردن
مصرف زیاد: ممکن است باعث افزایش چربی کبد شود
هضم و جذب آهسته: در برخی افراد مشکلات گوارشی ایجاد میکند
فروکتوز یکی از شکرهای مختصر (مونوساکاریدها) است که در مواد غذایی وجود دارد و در بدن به انرژی تبدیل میشود. برای تجزیه و متابولیسم فروکتوز در بدن، اقدامات بیوشیمیایی مختلفی انجام میشود. در ادامه به برخی از این اقدامات اشاره میکنم:
این اقدامات بیوشیمیایی نشان میدهند که چگونه فروکتوز در بدن متابولیسم میشود و به انرژی تبدیل میشود. با این حال، مصرف زیادی از فروکتوز ممکن است مشکلات بهداشتی را ایجاد کند، مانند افزایش چربی در کبد یا مشکلات متابولیکی در برخی افراد. بنابراین، مصرف معقول و متعادل فروکتوز در رژیم غذایی مهم است.
D-(−)-فروکتوز یک نوع شکر مختصر است که دارای فرمول شیمیایی C6H12O6 میباشد. این شکر به صورت یک پلیهیدروکسیکتون دستهبندی میشود و دارای سه عضو آلدوز، کتوز و الکتوز میباشد.
D فروکتوز به طور طبیعی در میوهها و سبزیجات وجود دارد. این شکر در عسل نیز یافت میشود و معمولاً از عسل و میوههای تازه استخراج میشود.
D فروکتوز به عنوان یک انحصاریکننده شیرینی در صنعت مواد غذایی مورد استفاده قرار میگیرد و به محصولاتی مانند مربا، کمپوت، شیرینیها و نوشیدنیهای میوهای افزوده میشود.
این شکر در تولید برخی از محصولات پختوپزی نیز مورد استفاده قرار میگیرد.
D-(−)-فروکتوز از نظر ساختاری مشابه شکر معمولی (گلوکز) است، اما متابولیسم آن در بدن تفاوتهایی دارد. برخی افراد ممکن است به D فروکتوز حساسیت داشته باشند و عوارضی مانند مشکلات گوارشی را تجربه کنند.
برخی از مطالعات نشان دادهاند که D-(−)-فروکتوز ممکن است در مدیریت برخی از بیماریهای مزمن مانند دیابت و چاقی موثر باشد. این ادعاها همچنان در مرحله تحقیقاتی قرار دارند.
D-(−)-فروکتوز به عنوان یک ماده شیرینکننده در صنایع داروسازی و صنایع شیمیایی نیز مورد استفاده قرار میگیرد.
در صنایع نساجی و چاپ، این شکر به عنوان یک ماده متمایزکننده استفاده میشود.
در نهایت، D-(−)-فروکتوز یک ماده شیرینکننده مهم در مواد غذایی و صنایع دیگر است که عوارض متابولیکی خاصی دارد و میتواند در مصارف درمانی نیز مورد استفاده قرار گیرد. با این حال، مصرف آن باید با دقت و بر اساس راهنماییهای متخصصین به عمل آید.
1. آیا D-فروکتوز برای بیماران دیابتی مناسب است؟
بله، به دلیل شاخص گلیسمی پایین، مصرف متعادل آن برای افراد دیابتی مناسب است.
2. تفاوت D-فروکتوز با فروکتوز معمولی چیست؟
D-فروکتوز ایزومر طبیعی فروکتوز است که در بیشتر غذاها یافت میشود.
3. آیا D-فروکتوز در مکملهای ورزشی استفاده میشود؟
بله، به عنوان منبع انرژی سریع در مکملهای ورزشی استفاده میشود.
4. چرا D-فروکتوز در صنایع غذایی محبوب است؟
به دلیل شیرینی بالا و پایداری در دماهای مختلف، محبوبیت زیادی دارد.
5. آیا مصرف زیاد D-فروکتوز ضرر دارد؟
مصرف زیاد آن ممکن است منجر به مشکلات کبدی و چاقی شود، بنابراین باید در حد اعتدال مصرف شود.
D-فروکتوز کد F0127، با ویژگیهای منحصر به فرد خود، نقش مهمی در صنایع مختلف ایفا میکند. استفاده مناسب و آگاهانه از این قند میتواند به بهبود کیفیت محصولات و سلامت افراد کمک کند. قیمت D فروکتوز قیمت D فروکتوز
شرکت دانش پژوهان شیمی یکی از بزرگترین وارد کنندگان و فروشندگان مواد شیمیایی و آزمایشگاهی بخصوص محصولات (سیگماآلدریچ) D فروکتوز کد F0127 می باشد. این شرکت در زمینه واردات این محصولات از تجربه بسیار بالایی برخوردار است. شما می توانید جهت تهیه این محصولات (اصلی) با بخش فروش شرکت تماس گرفته و با کارشناسان این شرکت در ارتباط باشید و یا از طریق کانال واتساپ شرکت نام محصول به همراه میزان نیاز خود را ارسال تا در کمترین زمان پاسخ استعلام خود را دریافت نمائید. امیدواریم بتوانیم با ارائه محصولات اصلی و با بهترین کیفیت شما را برای رسیدن به اهدافتان یاری نمائیم.
جهت محصولات بیشتر واستعلام سریع قیمت خرید D فروکتوز کد F0127 میتوانید از طریق کانال واتساپ شرکت با ارسال نام ماده و مقدار نیاز در کمترین زمان پاسخ استعلام خود را دریافت نمائید.
راههای ارتباطی
شماره های تماس:
021-66859216
021-66859220 (ساعات تماس:8.30 الی 19)
واتساپ:09129618292 (24ساعت)
Last Updated on 05/30/2025 by adminm