تیامین هیدروکلراید سیگما کد T4625 در دنیای ترکیبات شیمیایی و زیستی، برخی مواد بهقدری نقش کلیدی دارند که نبود آنها میتواند کل یک سیستم را دچار اختلال کند. تیامین هیدروکلراید یکی از همین ترکیبات مهم است که بهعنوان شکل پایدار و محلول تیامین شناخته میشود.
این ماده نهتنها در حوزههای پژوهشی و آزمایشگاهی اهمیت دارد، بلکه در بسیاری از فرآیندهای مرتبط با علوم زیستی و شیمی کاربردی نیز جایگاه ویژهای پیدا کرده است.
تیامین هیدروکلراید به دلیل ساختار خاص خود، امکان مشارکت در واکنشهای زیستی و شیمیایی متعددی را دارد. این ترکیب بهگونهای طراحی شده که پایداری بالاتری نسبت به تیامین آزاد داشته باشد و در محیطهای مختلف، عملکرد قابلاطمینانی از خود نشان دهد.
همین ویژگی باعث شده که در محیطهای آزمایشگاهی و تحقیقاتی، استفاده از آن بسیار رایج باشد. در این مقاله تلاش شده است تیامین هیدروکلراید کد T4625 بهصورت جامع و کاربردی بررسی شود. از معرفی و ساختار گرفته تا خواص، کاربردها، خطرات احتمالی و نکات ایمنی، همه موارد به زبانی ساده اما دقیق توضیح داده شدهاند تا هم برای افراد متخصص و هم برای کاربران عمومی قابل استفاده باشد.
در شرکت دانش پژوهان شیمی، اصالت و کیفیت کالا برای ما در اولویت است. شما میتوانید تیامین هیدروکلراید سیگما را می توانید از برند معتبر Merck / Sigma را همراه با برگه آنالیز (COA)، بستهبندی استاندارد و مشاوره علمی تخصصی دریافت کنید.
📌 این محصول با کد T4625 آماده عرضه میباشد.
برای ثبت سفارش و دریافت قیمت روز، با کارشناسان ما تماس بگیرید:
☎️ تلفن: 02166859220(ساعات پاسخگویی: 8:30 تا 18:00)
📱 واتساپ: 09129618292 (پشتیبانی 24 ساعته)
دانشجویان، پژوهشگران و فعالان حوزه تحقیقاتی میتوانند با اطمینان خاطر، این ماده شیمیایی را از دانش پژوهان شیمی تهیه کنند و پروژههای آزمایشگاهی خود را با کیفیت و دقت بیشتری پیش ببرند.
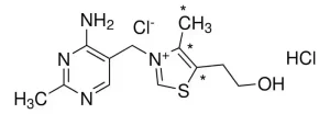
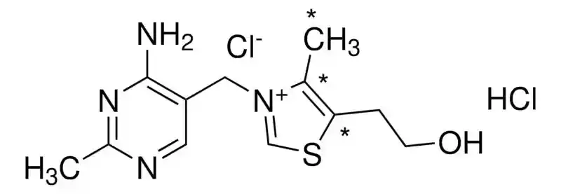
تیامین هیدروکلراید سیگما شکل نمکی تیامین است که بهمنظور افزایش پایداری و قابلیت انحلال آن تهیه میشود. این ماده بهصورت پودر یا بلور سفیدرنگ شناخته میشود و در آب بهخوبی حل میگردد. وجود یون کلرید در ساختار آن، باعث بهبود خواص فیزیکی و نگهداری بهتر این ترکیب شده است.
کد T4625 بهعنوان شناسه این ماده در محیطهای آزمایشگاهی و صنعتی استفاده میشود و امکان ردیابی دقیق آن را فراهم میکند. تیامین هیدروکلراید از نظر شیمیایی رفتاری نسبتاً پایدار دارد، اما در برابر نور، رطوبت و دماهای بالا باید با دقت نگهداری شود.
این ترکیب به دلیل سازگاری بالا با محیطهای آبی و واکنشپذیری کنترلشده، در مطالعات مختلف شیمیایی و زیستی مورد استفاده قرار میگیرد. همچنین ساختار آن بهگونهای است که میتواند در واکنشهای خاص نقش فعال ایفا کند، بدون اینکه باعث ایجاد ناپایداری در سیستم شود.
دانش پژوهان شیمی نمایندگی مواد شیمیایی سیگماآلدریچ در ایران می باشد. این مجموعه کلیه محصولات و مواد شیمیایی آزمایشگاهی را از جمله محصولات مرک merck ، و سیگماآلدریچ sigmaaldrich ، و کلیه محصولات آزمایشگاهی و صنعتی را به مشتریان ارائه می دهد.
تیامین هیدروکلراید سیگما کد T4625 یکی از محصولات تولیدی شرکت سیگماآلدریچ sigmaaldrich می باشد. این شرکت یکی از بزرگترین کمپانی های تولیدی مواد شیمیایی آزمایشگاهی در جهان می باشد که در بین محققین و دانشمندان و… از جایگاه ویژه ای برخوردار است.
ساختار تیامین هیدروکلراید شامل:
تیامین هیدروکلراید از نظر فیزیکی یک ماده جامد سفید یا تقریباً سفید است که معمولاً به شکل پودر یا بلور عرضه میشود. این ماده بدون بو یا با بوی بسیار خفیف است و طعم مشخصی ندارد. حلالیت بالای آن در آب، یکی از مهمترین ویژگیهای فیزیکی آن به شمار میرود که استفاده از آن را در محیطهای آبی آسان میکند.
از نظر شیمیایی، تیامین هیدروکلراید ترکیبی نسبتاً پایدار است، اما در برابر نور مستقیم و رطوبت طولانیمدت میتواند دچار کاهش کیفیت شود. این ماده در شرایط کنترلشده، واکنشپذیری قابل پیشبینی دارد و بهراحتی در فرمولاسیونهای مختلف قابل استفاده است.
وجود ساختار نمکی باعث شده که تیامین هیدروکلراید در مقایسه با برخی ترکیبات مشابه، پایداری حرارتی بهتری داشته باشد. با این حال، در دماهای بسیار بالا ممکن است تجزیه شود. به همین دلیل، کنترل شرایط نگهداری و استفاده از آن اهمیت زیادی دارد.
دعوت ویژه برای بازدید از محصولات و مقالات ما
از شما دعوت میکنیم برای آشنایی بیشتر با محصولات آزمایشگاهی و مقالات تخصصی ما، سری به وبسایت بزنید و سایر محصولات از جمله دودسیل تری متیل آمونیوم کلرید را مشاهده کنید. هدف ما این است که فرآیند خرید شما سریعتر، آسانتر و با اطمینان کامل انجام شود.
همین حالا روی لینک زیر کلیک کنید و از محتوای آموزشی و محصولات متنوع ما دیدن کنید:

تیامین هیدروکلراید بهعنوان یک ترکیب پایدار و قابل اعتماد، در بسیاری از آزمایشهای شیمیایی و زیستی بهعنوان ماده مرجع استفاده میشود. پایداری ساختاری آن باعث میشود نتایج آزمایشها دقت و تکرارپذیری بالاتری داشته باشند.
2. استفاده در مطالعات مرتبط با واکنشهای آنزیمی
این ترکیب در بررسی مسیرهای واکنشی آنزیمی نقش مهمی دارد. حضور آن در محیطهای آزمایشگاهی به پژوهشگران کمک میکند رفتار سیستمهای زیستی وابسته به ترکیبات تیامینی را بهتر تحلیل کنند.
3. کاربرد در توسعه و کالیبراسیون روشهای تحلیلی
تیامین هیدروکلراید در طراحی و اعتبارسنجی روشهای تحلیلی شیمیایی مورد استفاده قرار میگیرد. خلوص و پایداری این ماده، آن را به گزینهای مناسب برای کالیبراسیون ابزارها تبدیل کرده است.
4. ماده کمکی در فرمولاسیونهای شیمیایی محلول در آب
به دلیل حلالیت بالا در آب، این ترکیب در فرمولاسیونهایی که نیاز به یکنواختی و پایداری محلول دارند، بهعنوان ماده کمکی یا تنظیمکننده مورد استفاده قرار میگیرد.
5. کاربرد پژوهشی در بررسی پایداری ترکیبات آلی
از تیامین هیدروکلراید برای مطالعه رفتار و پایداری ترکیبات آلی مشابه در شرایط مختلف دما، نور و رطوبت استفاده میشود. این کاربرد در طراحی فرمولاسیونهای پایدار اهمیت بالایی دارد.
6. استفاده در آزمایشگاههای آموزشی و دانشگاهی
در محیطهای آموزشی، این ماده برای آموزش مفاهیم مربوط به ترکیبات محلول، نمکهای آلی و رفتار شیمیایی آنها به کار میرود. ایمنی نسبی آن، استفاده در آموزش را آسانتر میکند.
7. نقش واسط در برخی فرآیندهای شیمیایی کنترلشده
تیامین هیدروکلراید در برخی واکنشهای کنترلشده بهعنوان واسط شیمیایی مورد استفاده قرار میگیرد و به تنظیم شرایط واکنش کمک میکند بدون آنکه سیستم را ناپایدار کند.
8. کاربرد در مطالعات مقایسهای و کنترل کیفیت
این ترکیب بهعنوان نمونه معیار در مطالعات مقایسهای و کنترل کیفیت مواد مشابه استفاده میشود. یکنواختی و مشخصات فیزیکوشیمیایی پایدار آن، نتایج قابل اتکایی ایجاد میکند.
برای خرید تیامین هیدروکلراید سیگما کد T4625 از سایت رسمی دانشپژوهان شیمی، کافیست مراحل ساده زیر را دنبال کنید:
🔹 استاندارد بستهبندی و ایمنی:
این محصول باید در ظروف مقاوم، دربسته و عایق رطوبت بستهبندی شود تا خواص آن در حین حملونقل و نگهداری دچار تغییر نشود.
🔹 تأمین از برندهای معتبر:
ما این ماده را تنها از برندهای مطرحی مانند Merck (مرک) و Sigma-Aldrich (سیگما آلدریچ) تأمین میکنیم تا بالاترین خلوص و کیفیت برای شما تضمین شود.
🔹 مناسب برای مصرف آزمایشگاهی و صنعتی:
در صورت نیاز به خرید جزئی یا عمده، کارشناسان ما آماده ارائه مشاوره علمی و فنی پیش از خرید هستند.
📦 موجودی در بستهبندیهای متنوع
قابل ارائه در بسته بندی: 5گرم – 10 گرم – 25گرم – 100گرم – 250 گرم – 1کیلوگرم با ارسال سریع به سراسر کشور.
📞 ثبت سفارش و دریافت مشاوره تخصصی:
برای ثبت سفارش یا دریافت قیمت بهروز، با ما تماس بگیرید یا فرم سفارش را از طریق وبسایت تکمیل کنید.
تلفن: [02166859216 – 02166859220 – 09129618292]
ایمیل: [info@daneshpazhoohaneshimi.com]
سایت: [www.daneshpazhoohaneshimi.com]
🎯 همین حالا اقدام کنید!
تیامین هیدروکلراید سیگما کد T4625 خالص و آزمایشگاهی را با شرایط ویژه از تأمینکننده معتبر دریافت نمایید.

شرکت دانش پژوهان شیمی که نمایندگی مرک آلمان و نمایندگی سیگماآلدریچ در ایران، با همکاری کارشناسان مجرب خود در بخش فنی و فروش، جهت تامین مواد اولیه پژوهش های تحقیقاتی ماده های با کیفیت بالا و قیمت مناسب را فراهم نموده است. شما می توانید جهت خرید تیامین هیدروکلراید سیگما کد T4625 با بخش فروش شرکت دانش پژوهان شیمی تماس حاصل بفرمایید و پس از دریافت پیش فاکتور و اطمینان حاصل نمودن از صحت نام محصول، کد، شماره CAS نامبر مواد شیمیایی درخواستی اقدام به ثبت سفارش نمایید تحویل کالاهای خریداری شده و زمان تحویل آنها به صورت زیر می باشد.
تحریک پوست و چشم در تماس مستقیم
ناراحتی تنفسی در صورت استنشاق گرد و غبار
حساسیت در افراد مستعد
کاهش کیفیت در صورت نگهداری نامناسب
استفاده از دستکش و عینک ایمنی
نگهداری در ظروف دربسته و دور از نور
کار در محیط دارای تهویه مناسب
جلوگیری از تماس مستقیم با پوست و چشم
نگهداری در دمای مناسب و محیط خشک
تیامین هیدروکلراید کد T4625 ترکیبی پایدار، محلول و کاربردی است که نقش مهمی در مطالعات شیمیایی و زیستی ایفا میکند. شناخت خواص، کاربردها و نکات ایمنی این ماده، استفاده صحیح و مؤثر از آن را تضمین میکند و باعث افزایش دقت و ایمنی در محیطهای کاری میشود.
1. تیامین هیدروکلراید چه نوع ترکیبی است؟
یک ترکیب نمکی پایدار از تیامین.
2. آیا این ماده در آب حل میشود؟
بله، حلالیت بالایی در آب دارد.
3. مهمترین کاربرد آن چیست؟
استفاده در تحقیقات آزمایشگاهی و زیستی.
4. آیا نگهداری خاصی نیاز دارد؟
بله، باید دور از نور و رطوبت نگهداری شود.
5. آیا تماس مستقیم با آن خطرناک است؟
در صورت تماس مستقیم ممکن است باعث تحریک شود.
قیمت فروش تیامین هیدروکلراید سیگما کد T4625شرکت دانش پژوهان شیمی یکی از بزرگترین وارد کنندگان و فروشندگان مواد شیمیایی، آزمایشگاهی بخصوص فروش تیامین هیدروکلراید سیگما کد T4625 که از محصولات نمایندگی مرک آلمان می باشد. این شرکت در زمینه واردات محصولات از تجربه بسیار بالایی برخوردار است. شما می توانید جهت تهیه این محصولات (اصلی) با بخش فروش شرکت تماس گرفته و با کارشناسان این شرکت در ارتباط باشید. از طریق کانال واتساپ شرکت نام محصول به همراه میزان نیاز خود را ارسال تا در کمترین زمان پاسخ استعلام خود را دریافت نمائید. امیدواریم بتوانیم با ارائه محصولات اصلی و با بهترین کیفیت شما را برای رسیدن به اهدافتان یاری نمائیم.
جهت محصولات بیشتر واستعلام سریع قیمت تیامین هیدروکلراید سیگما کد T4625 میتوانید از طریق کانال واتساپ شرکت با ارسال نام ماده و مقدار نیاز در کمترین زمان پاسخ استعلام خود را دریافت نمائید.
راههای ارتباطی
شماره های تماس:
021-66859216
021-66859220 (ساعات تماس:8.30 الی 19)
واتساپ:09129618292 (24ساعت)
Last Updated on 12/20/2025 by adminm